728x90
반응형
https://school.programmers.co.kr/learn/courses/30/lessons/49189
프로그래머스
코드 중심의 개발자 채용. 스택 기반의 포지션 매칭. 프로그래머스의 개발자 맞춤형 프로필을 등록하고, 나와 기술 궁합이 잘 맞는 기업들을 매칭 받으세요.
programmers.co.kr
문제 설명
n개의 노드가 있는 그래프가 있습니다. 각 노드는 1부터 n까지 번호가 적혀있습니다. 1번 노드에서 가장 멀리 떨어진 노드의 갯수를 구하려고 합니다. 가장 멀리 떨어진 노드란 최단경로로 이동했을 때 간선의 개수가 가장 많은 노드들을 의미합니다.
노드의 개수 n, 간선에 대한 정보가 담긴 2차원 배열 vertex가 매개변수로 주어질 때, 1번 노드로부터 가장 멀리 떨어진 노드가 몇 개인지를 return 하도록 solution 함수를 작성해주세요.
제한사항
- 노드의 개수 n은 2 이상 20,000 이하입니다.
- 간선은 양방향이며 총 1개 이상 50,000개 이하의 간선이 있습니다.
- vertex 배열 각 행 [a, b]는 a번 노드와 b번 노드 사이에 간선이 있다는 의미입니다.
입출력 예
| n | vertex | return |
| 6 | [[3, 6], [4, 3], [3, 2], [1, 3], [1, 2], [2, 4], [5, 2]] | 3 |
입출력 예 설명
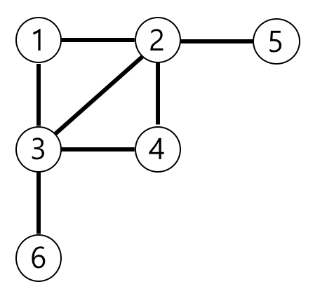
예제의 그래프를 표현하면 아래 그림과 같고, 1번 노드에서 가장 멀리 떨어진 노드는 4,5,6번 노드입니다.

풀이
deque를 사용해서 DFS 방식으로 풀었다.
그래프탐색이나 최단거리 등의 문제에서 DFS를 사용하면 거의 풀리는 것 같다.
edge리스트를 확인해서 각 노드의 연결관계를 담은 리스트를 만들어준다.
1번 노드를 deque에 넣어주고, DFS 방식으로 탐색을 해주며 visited리스트에 각 노드별로 최단거리를 넣어준다.

import collections
def solution(n, edge):
answer = 0
linked = [[] for i in range(n)] # 노드의 연결관계를 담은 리스트
for e in edge: # 연결관계 저장
a, b = e[0], e[1]
linked[a-1].append(b)
linked[b-1].append(a)
dq = collections.deque()
visited = [0 for i in range(n)] # 노드 방문여부 확인 & 최단거리 표시할 리스트
visited[0] = 1
dq.append(1)
while dq:
now = dq.popleft()
for t in linked[now-1]:
if visited[t-1] == 0:
visited[t-1] = visited[now-1] + 1
dq.append(t)
# 가장 먼 노드의 최단거리와 같은 노드를 세준다.
far = max(visited)
for v in visited:
if v == far:
answer += 1
return answer728x90
반응형
'코테공부 > 프로그래머스' 카테고리의 다른 글
| [프로그래머스 - DP] 정수 삼각형 (Python3) (0) | 2022.11.05 |
|---|---|
| [프로그래머스 - 힙(Heap)] 더 맵게 (Python3) (0) | 2022.11.02 |
| [프로그래머스 - DFS/BFS] 게임 맵 최단거리 (Python3) (0) | 2022.10.09 |
| [프로그래머스 - 2022 카카오 신입공채 1차] - 신고 결과 받기 (0) | 2022.09.20 |
| [프로그래머스 - DFS/BFS] 단어 변환 (Python3) (0) | 2022.06.28 |